Найти в Дзене
Войти
1,0×
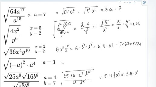
ОГЭ Примеры со степенями
948 просмотров · 4 года назад
00:00
/
02:12
Математика простым языком
11,1 тыс подписчиков
Подписаться
Хотите видеть больше публикаций по теме «Образование»?
Давайте
Образование
4,84 млн интересуются
Следить за темой
2500908459.870.1776769229548.33056