Найти в Дзене
Войти
1,0×
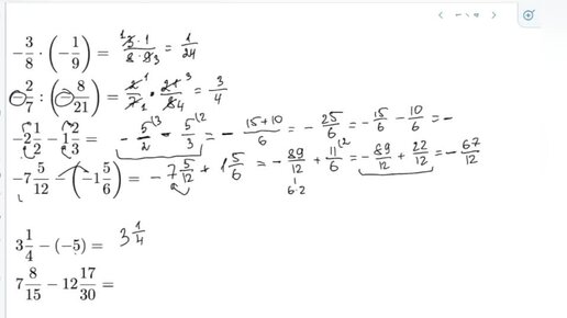
ОГЭ Решаю примеры с обыкновенными дробями
473 просмотра · 4 года назад
00:00
/
02:00
Математика простым языком
11,1 тыс подписчиков
Подписаться
Хотите видеть больше публикаций по теме «Образование»?
Давайте
Образование
4,84 млн интересуются
Следить за темой
2337875327.775.1776815158527.49725