Найти в Дзене
Войти
1,0×
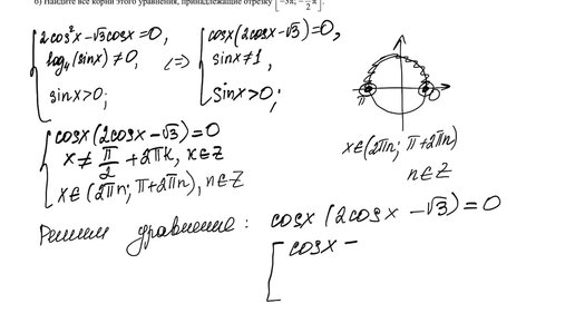
Решаем тригонометрическое уравнение
632 просмотра · 4 года назад
00:00
/
09:11
Математика с Ольгой
6253 подписчиков
Подписаться
Хотите видеть больше публикаций по теме «Образование»?
Давайте
Образование
4,84 млн интересуются
Следить за темой
1231360329.1520.1765357293491.55737