Найти в Дзене
Войти
1,0×
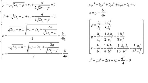
Формула Феррари
87 просмотров · 4 года назад
00:00
/
03:54
Евдмал ФИЗМАТ без боли
193 подписчиков
Подписаться
2828632655.991.1776786648616.27565