Найти в Дзене
Войти
1,0×
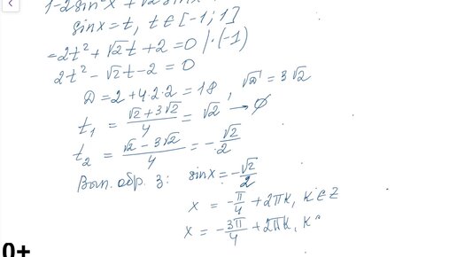
Тригонометрическое уравнение 12 из ЕГЭ по математике Профильного уровня
420 просмотров · 4 года назад
00:00
/
06:23
Математика с Ольгой
6292 подписчиков
Подписаться
Хотите видеть больше публикаций по теме «Образование»?
Давайте
Образование
4,84 млн интересуются
Следить за темой
1725883881.1063.1775264725271.85636