Найти в Дзене
Войти
1,0×
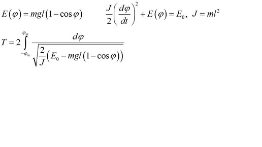
Период изохронных и неизохронных колебаний
56 просмотров · 4 года назад
00:00
/
09:41
Евдмал ФИЗМАТ без боли
193 подписчиков
Подписаться
3179359805.938.1775655639298.40057