Найти в Дзене
Войти
1,0×
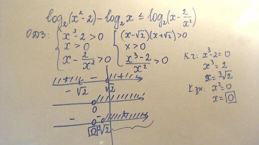
Логарифмическое неравенство из 33 варианта Ященко ЕГЭ 2022 сборник 36 вариантов ФИПИ
322 просмотра · 4 года назад
00:00
/
06:57
Татьяна Нарушева
816 подписчиков
Подписаться
Хотите видеть больше публикаций по теме «Подготовка к ЕГЭ»?
Давайте
Все о логарифмах
Подборка ·
Татьяна Нарушева
· 2 из
47
Далее: н17 Показательнологарифмическое уранение из сборника Сканави М.И. № 7.089 ЕГЭ математика профиль
Все о логарифмах
· 2 из
47
Образование
4,84 млн интересуются
Следить за темой
3552684348.1342.1776755744945.81758