Найти в Дзене
Войти
1,0×
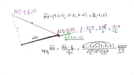
Как найти расстояние от точки до плоскости в пространстве
655 просмотров · 4 года назад
00:00
/
21:18
Математика для хомяков
2849 подписчиков
Подписаться
Хотите видеть больше публикаций по теме «Подготовка к ЕГЭ»?
Давайте
Координаты и векторы
Подборка ·
Математика для хомяков
· 4 из
19
Далее: Взаимное расположение прямых и плоскостей
Координаты и векторы
· 4 из
19
Образование
4,84 млн интересуются
Следить за темой
2301357735.1936.1764334485655.95107