Найти в Дзене
Войти
1,0×
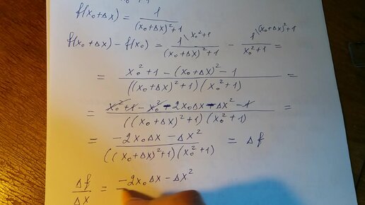
Алгебра 10-11. Приращение функции. Приращение аргумента. Физический смысл.
61 просмотр · 4 года назад
00:00
/
06:40
Математика. Продолжение следует...
274 подписчиков
Подписаться
1725883881.992.1779260808141.86597