Найти в Дзене
Войти
1,0×
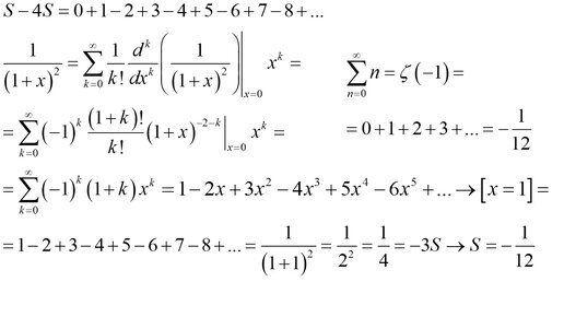
Ряд натуральных чисел
95 просмотров · 4 года назад
00:00
/
04:14
Евдмал ФИЗМАТ без боли
193 подписчиков
Подписаться
2500908459.870.1776755463550.89480