Найти в Дзене
Войти
1,0×
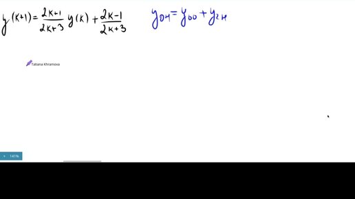
Разностные уравнения 1го порядка - 1 (всё такое дробно-рациональное)
255 просмотров · 4 года назад
00:00
/
19:45
Математика для хомяков
3035 подписчиков
Подписаться
Хотите видеть больше публикаций по теме «Образование»?
Давайте
Рекуррентные соотношения
Подборка ·
Математика для хомяков
· 9 из
11
Далее: Разностные уравнения -3. Всё такое показательное
Рекуррентные соотношения
· 9 из
11
Образование
4,84 млн интересуются
Следить за темой
2090570624.1407.1776626707732.62318