Найти в Дзене
Войти
1,0×
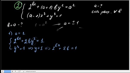
Метод решения задач с параметром: "вышибание"
319 просмотров · 4 года назад
00:00
/
39:27
Математика для хомяков
3019 подписчиков
Подписаться
Хотите видеть больше публикаций по теме «Образование»?
Давайте
Задачи с параметром
Подборка ·
Математика для хомяков
· 2 из
22
Далее: Решаем параметры графически: Ларин 140, 212, 243
Задачи с параметром
· 2 из
22
Образование
4,84 млн интересуются
Следить за темой
2646513550.755.1775806467108.70314