Найти в Дзене
Войти
1,0×
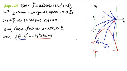
Уравнение с параметром: решаем графически - 6 (Ларин 265)
576 просмотров · 4 года назад
00:00
/
06:13
Математика для хомяков
3056 подписчиков
Подписаться
Хотите видеть больше публикаций по теме «Образование»?
Давайте
Задачи с параметром
Подборка ·
Математика для хомяков
· 11 из
22
Далее: Уравнение с параметром: решаем графически - (оценить разность корней)
Задачи с параметром
· 11 из
22
Образование
190,2 тыс интересуются
Следить за темой
3524342685.941.1777422943127.20717