Найти в Дзене
Войти
1,0×
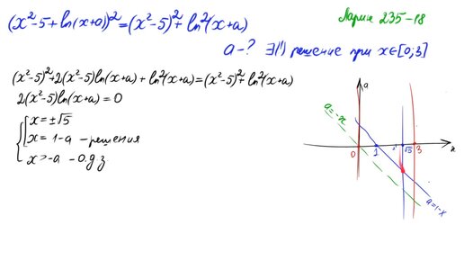
Уравнение с параметром: решаем графически- 4 (Ларин 235)
375 просмотров · 4 года назад
00:00
/
11:31
Математика для хомяков
3035 подписчиков
Подписаться
Хотите видеть больше публикаций по теме «Образование»?
Давайте
Задачи с параметром
Подборка ·
Математика для хомяков
· 8 из
22
Далее: Уравнение с параметром: решаем графически - 4 (Ларин 202)
Задачи с параметром
· 8 из
22
Образование
4,84 млн интересуются
Следить за темой
1275130734.955.1776645865231.38702