Найти в Дзене
Войти
1,0×
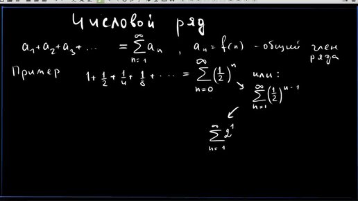
Ряды, урок 1. Основные определения
449 просмотров · 4 года назад
00:00
/
12:44
Математика для хомяков
3097 подписчиков
Подписаться
Хотите видеть больше публикаций по теме «Образование»?
Давайте
Образование
190,2 тыс интересуются
Следить за темой
2833468565.1305.1779512461369.53540