Найти в Дзене
Войти
1,0×
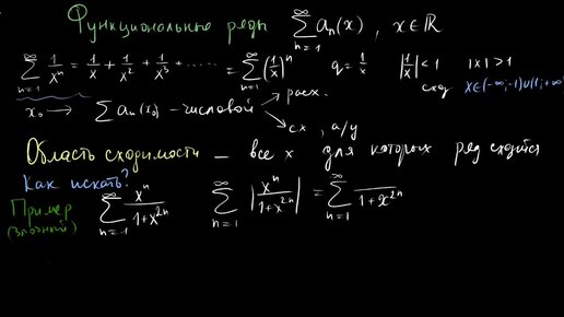
Ряды, урок 5. Функциональные ряды
262 просмотра · 4 года назад
00:00
/
14:54
Математика для хомяков
2857 подписчиков
Подписаться
Хотите видеть больше публикаций по теме «Образование»?
Давайте
Образование
4,84 млн интересуются
Следить за темой
164511394.1775.1765564707708.53445