Найти в Дзене
Войти
1,0×
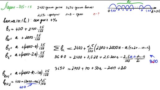
Финансовая задача: вариант Ларина 315. Дифференцированные платежи
153 просмотра · 4 года назад
00:00
/
12:13
Математика для хомяков
3035 подписчиков
Подписаться
Хотите видеть больше публикаций по теме «Подготовка к ЕГЭ»?
Давайте
Подготовка к ЕГЭ
128,7 тыс интересуются
Следить за темой
2297275873.1340.1776609981714.52045