Найти в Дзене
Войти
1,0×
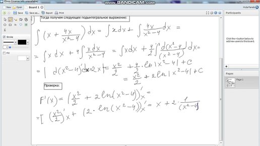
Интегрирование дробно-рациональных функций, Часть 2
49 просмотров · 4 года назад
00:00
/
04:45
Математика и химия для всех!
6 подписчиков
Подписаться
3752607079.1697.1759481461903.32874