Найти в Дзене
Войти
1,0×
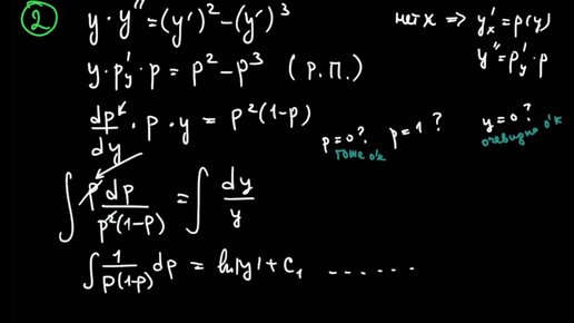
Диф.уравнения допускающие понижение порядка. Примеры
512 просмотров · 4 года назад
00:00
/
18:29
Математика для хомяков
2934 подписчиков
Подписаться
Хотите видеть больше публикаций по теме «Образование»?
Давайте
Дифференциальные уравнения
Подборка ·
Математика для хомяков
· 9 из
22
Далее: Однородные диф. уравнения второго порядка
Дифференциальные уравнения
· 9 из
22
Образование
4,84 млн интересуются
Следить за темой
1422654770.2003.1772406607112.52857