Найти в Дзене
Войти
1,0×
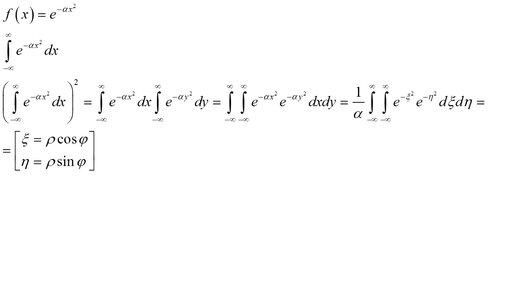
Интеграл Пуассона
216 просмотров · 4 года назад
00:00
/
14:18
Евдмал ФИЗМАТ без боли
188 подписчиков
Подписаться
3812841875.1769.1759784516143.73564