Найти в Дзене
Войти
1,0×
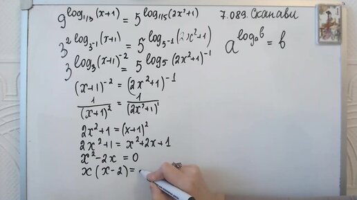
н17 Показательнологарифмическое уранение из сборника Сканави М.И. № 7.089 ЕГЭ математика профиль
69 просмотров · 4 года назад
00:00
/
04:11
Татьяна Нарушева
816 подписчиков
Подписаться
Все о логарифмах
Подборка ·
Татьяна Нарушева
· 3 из
47
Далее: н11 Смешанное неравенство с логарифмом в показателе степени из сборника Сканави М.И. № 9.076
Все о логарифмах
· 3 из
47
2500908459.855.1776799150515.87005