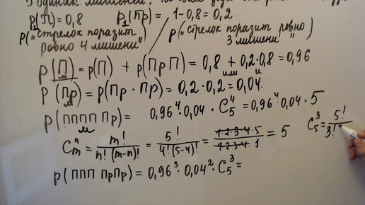
#45 Стрелок стреляет по пяти мишеням Во сколько больше вероятность _стрелок поразит ровно четыре мишени