Найти в Дзене
Войти
1,0×
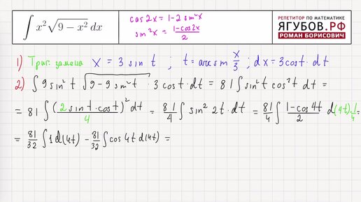
ТОП 10 ИНТЕГРАЛОВ ПО МАТЕМАТИКЕ ДЛЯ СТУДЕНТОВ
44 просмотра · 4 года назад
00:00
/
10:10
Ягубов.РФ
43 подписчиков
Подписаться
Хотите видеть больше публикаций по теме «Образование»?
Давайте
Образование
4,84 млн интересуются
Следить за темой
2411859768.1905.1760338516891.43301