Найти в Дзене
Войти
1,0×
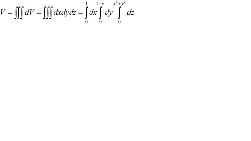
Находим объем однородного тела, сложной формы. Параболоид.
531 просмотр · 4 года назад
00:00
/
04:31
Евдмал ФИЗМАТ без боли
190 подписчиков
Подписаться
350479030.1722.1765635969422.53421