Найти в Дзене
Войти
1,0×
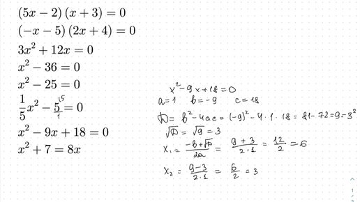
ОГЭ Решение квадратного уравнения двумя способами
49,9 тыс просмотров · 4 года назад
00:00
/
02:58
Математика простым языком
11,2 тыс подписчиков
Подписаться
Хотите видеть больше публикаций по теме «Образование»?
Давайте
Образование
4,84 млн интересуются
Следить за темой
498174280.1794.1765614427917.55010