Найти в Дзене
Войти
1,0×
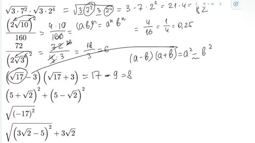
ОГЭ Решаем примеры с квадратным корнем
2250 просмотров · 4 года назад
00:00
/
02:40
Математика простым языком
11,1 тыс подписчиков
Подписаться
Хотите видеть больше публикаций по теме «Образование»?
Давайте
Образование
4,84 млн интересуются
Следить за темой
4234731669.868.1776800605344.79413