Найти в Дзене
Войти
1,0×
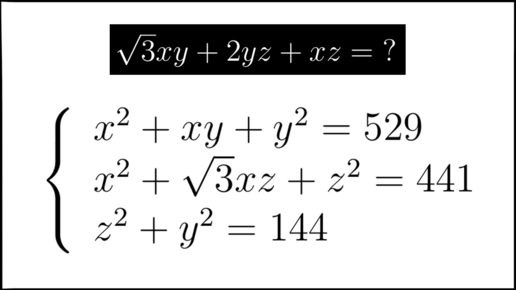
Задача из олимпиады ФСБ!
3497 просмотров · 4 года назад
00:00
/
08:31
postupashki
654 подписчиков
Подписаться
2157989940.1694.1760065563438.24458