Найти в Дзене
Войти
1,0×
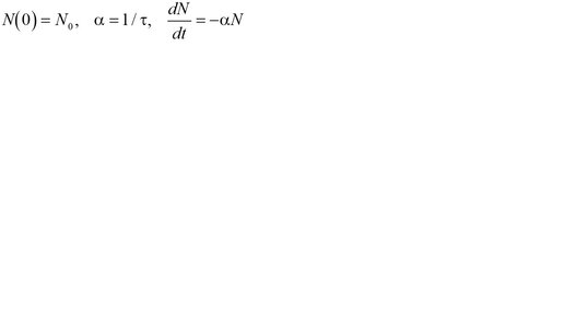
Оценка числа нераспавшихся атомов
534 просмотра · 4 года назад
00:00
/
05:18
Евдмал ФИЗМАТ без боли
190 подписчиков
Подписаться
996666873.1761.1765609858348.32976