Найти в Дзене
Войти
1,0×
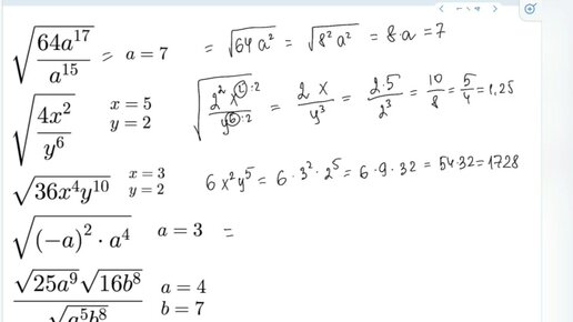
ОГЭ Примеры с квадратным корнем
1310 просмотров · 4 года назад
00:00
/
02:18
Математика простым языком
11,1 тыс подписчиков
Подписаться
Хотите видеть больше публикаций по теме «Образование»?
Давайте
Образование
4,84 млн интересуются
Следить за темой
3552684348.983.1776123399261.63785