Найти в Дзене
Войти
1,0×
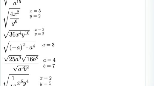
ОГЭ Решение простых примеров с квадратным корнем
7548 просмотров · 4 года назад
00:00
/
02:01
Математика простым языком
11,2 тыс подписчиков
Подписаться
Хотите видеть больше публикаций по теме «Образование»?
Давайте
Образование
4,84 млн интересуются
Следить за темой
3287074240.1930.1766102743542.35703