Найти в Дзене
Войти
1,0×
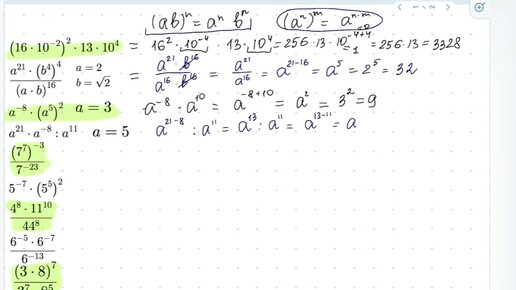
ОГЭ Свойства степеней
1472 просмотра · 4 года назад
00:00
/
02:32
Математика простым языком
11,1 тыс подписчиков
Подписаться
Хотите видеть больше публикаций по теме «Образование»?
Давайте
Образование
190,2 тыс интересуются
Следить за темой
1725883881.957.1777359142500.50921