Найти в Дзене
Войти
1,0×
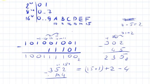
Вычитание в N-ых системах счисления
445 просмотров · 4 года назад
00:00
/
11:56
Где-то на Земле
372 подписчиков
Подписаться
Хотите видеть больше публикаций по теме «Образование»?
Давайте
Системы счисления
Подборка ·
Где-то на Земле
· 10 из
11
Далее: Перевод из 10-ой в 2-ую систему счисления и обратно с плавающей точкой
Системы счисления
· 10 из
11
Образование
190,2 тыс интересуются
Следить за темой
3929810250.879.1778210472573.14041