Найти в Дзене
Войти
1,0×
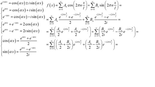
Интегральное преобразование Фурье
654 просмотра · 4 года назад
00:00
/
12:51
Евдмал ФИЗМАТ без боли
193 подписчиков
Подписаться
4158704208.875.1776955120024.51036