Найти в Дзене
Войти
1,0×
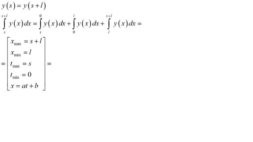
Ортогональность и нормировка гармонических функций (синус и косинус)
532 просмотра · 4 года назад
00:00
/
11:04
Евдмал ФИЗМАТ без боли
188 подписчиков
Подписаться
996666873.1746.1761882141864.62153