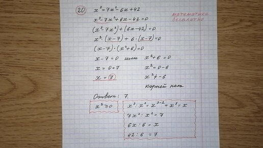
20)Решите уравнение х^3=7х^2-6х+42. Решу огэ. Решение с объяснением. Номер 20, вариант 9, Лысенко. Математика бесплатно. огэ.