Найти в Дзене
Войти
1,0×
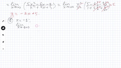
Построение графиков функций
207 просмотров · 4 года назад
00:00
/
01:42:36
Бабушкин Георгий
142 подписчиков
Подписаться
Хотите видеть больше публикаций по теме «Образование»?
Давайте
Образование
4,84 млн интересуются
Следить за темой
3013874874.1789.1765487119237.25195