Найти в Дзене
Войти
1,0×
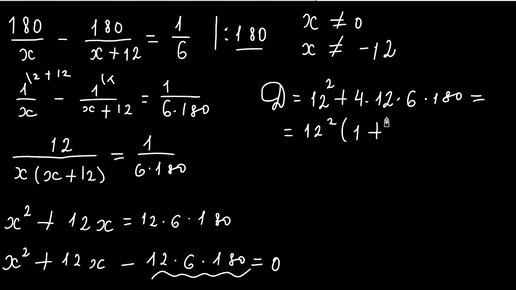
Дробно-рациональное уравнение. Как решить проще
4906 просмотров · 4 года назад
00:00
/
07:34
Mathplus
4317 подписчиков
Подписаться
Хотите видеть больше публикаций по теме «Образование»?
Давайте
Образование
4,84 млн интересуются
Следить за темой
2157989940.791.1776658791553.81524