Найти в Дзене
Войти
1,0×
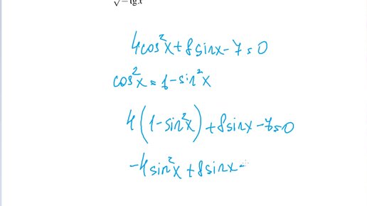
Полнейший разбор задачи №12 ЕГЭ по математике. Тригонометрия. ОДЗ.
2168 просмотров · 4 года назад
00:00
/
17:39
Матеша за 300. ЕГЭ/ОГЭ
360 подписчиков
Подписаться
2411859768.909.1776662524085.18812