Найти в Дзене
Войти
1,0×
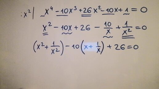
Симпатичное 🌼 симметричное уравнение.
12,2 тыс просмотров · 4 года назад
00:00
/
06:53
Math
2432 подписчиков
Подписаться
2301357735.1020.1776801970469.26144