Найти в Дзене
Войти
1,0×
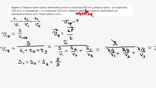
Задача на среднюю скорость для школьников
1266 просмотров · 4 года назад
00:00
/
03:56
Томас Гранд
34 подписчиков
Подписаться
874310038.1935.1766245844647.56232