Найти в Дзене
Войти
1,0×
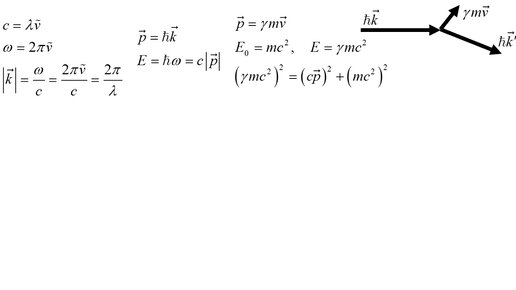
Эффект Комптона
605 просмотров · 4 года назад
00:00
/
06:10
Евдмал ФИЗМАТ без боли
188 подписчиков
Подписаться
3179359805.1711.1759586298282.15556