Найти в Дзене
Войти
1,0×
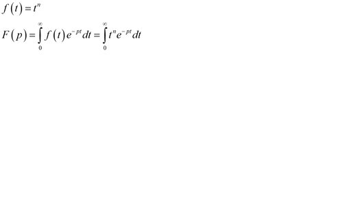
Преобразование Лапласа Степенная функция и экспонента
614 просмотров · 4 года назад
00:00
/
04:43
Евдмал ФИЗМАТ без боли
190 подписчиков
Подписаться
1231360329.1520.1765705252774.41199