Найти в Дзене
Войти
1,0×
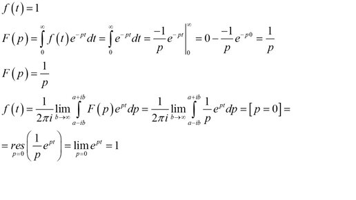
Преобразование Лапласа Ступенчатая функция Хевисайда и экспонента
625 просмотров · 4 года назад
00:00
/
03:09
Евдмал ФИЗМАТ без боли
190 подписчиков
Подписаться
2301357735.1771.1765730918058.28742