Найти в Дзене
Войти
1,0×
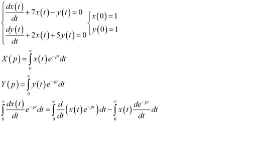
Преобразование Лапласа Решение системы линейных дифференциальных уравнений
1302 просмотра · 4 года назад
00:00
/
05:39
Евдмал ФИЗМАТ без боли
190 подписчиков
Подписаться
2296203084.1554.1765716278758.74479