Найти в Дзене
Войти
1,0×
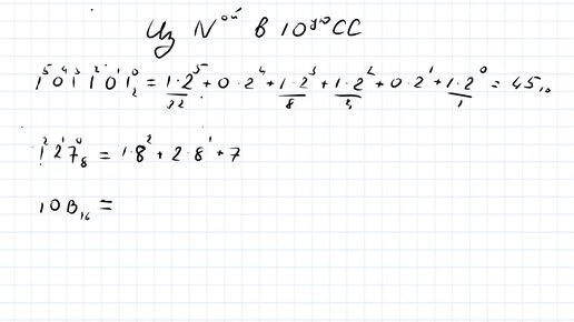
Перевод из N-ой в десятичную систему счисления
942 просмотра · 4 года назад
00:00
/
08:15
Где-то на Земле
369 подписчиков
Подписаться
Хотите видеть больше публикаций по теме «Образование»?
Давайте
Системы счисления
Подборка ·
Где-то на Земле
· 5 из
11
Далее: Перевод из 2-ой в 8-ую и 16-ую системы счисления
Системы счисления
· 5 из
11
Образование
4,84 млн интересуются
Следить за темой
2296203084.1554.1765480419388.40175