Найти в Дзене
Войти
1,0×
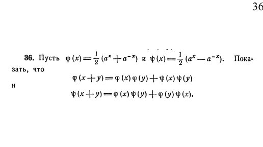
Полезное тождество показательных функций
381 просмотр · 5 лет назад
00:00
/
02:56
Евдмал ФИЗМАТ без боли
193 подписчиков
Подписаться
1413965380.943.1776793093604.77902