Найти в Дзене
Войти
1,0×
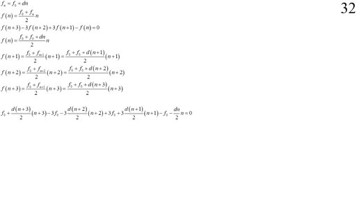
Проверяем тождество для сумм арифметической прогрессии
366 просмотров · 5 лет назад
00:00
/
02:02
Евдмал ФИЗМАТ без боли
193 подписчиков
Подписаться
2411859768.909.1776727667553.77952