Найти в Дзене
Войти
1,0×
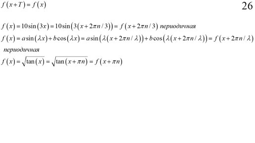
Проверка функций на периодичность
2219 просмотров · 4 года назад
00:00
/
02:57
Евдмал ФИЗМАТ без боли
191 подписчиков
Подписаться
2337875327.1834.1766006134590.10060