Найти в Дзене
Войти
1,0×
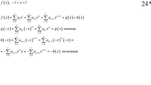
Выделение четной и нечетной части функции на конечном интервале
733 просмотра · 5 лет назад
00:00
/
01:54
Евдмал ФИЗМАТ без боли
193 подписчиков
Подписаться
4001320876.908.1776818035545.64592