Найти в Дзене
Войти
1,0×
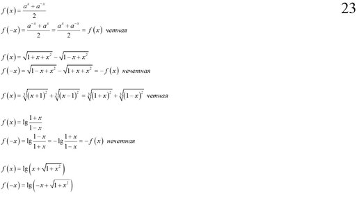
Четность и нечетность некоторых функций
630 просмотров · 4 года назад
00:00
/
02:48
Евдмал ФИЗМАТ без боли
188 подписчиков
Подписаться
55584858.1758.1761637291378.80838